Przemek Strzelczyk f0c8bc571a [Tacotron2/PyT} Updating for Ampere 5 лет назад
..
audio b56f72bcd9 fixed audio 6 лет назад
common f0c8bc571a [Tacotron2/PyT} Updating for Ampere 5 лет назад
exports f0c8bc571a [Tacotron2/PyT} Updating for Ampere 5 лет назад
filelists 0663b67c1a Updating models 6 лет назад
img f0c8bc571a [Tacotron2/PyT} Updating for Ampere 5 лет назад
notebooks f0c8bc571a [Tacotron2/PyT} Updating for Ampere 5 лет назад
phrases 5dbb6c5b91 updated perf scripts 6 лет назад
platform f0c8bc571a [Tacotron2/PyT} Updating for Ampere 5 лет назад
scripts f0c8bc571a [Tacotron2/PyT} Updating for Ampere 5 лет назад
tacotron2 f0c8bc571a [Tacotron2/PyT} Updating for Ampere 5 лет назад
trt f0c8bc571a [Tacotron2/PyT} Updating for Ampere 5 лет назад
trtis_cpp 3bddd5df99 updates MR78 5 лет назад
waveglow f0c8bc571a [Tacotron2/PyT} Updating for Ampere 5 лет назад
.gitignore 77a1bb917a [Tacotron2/PyT] Updates: better perf, better trt7 support, new logging, bug fixes 6 лет назад
.gitmodules 7a8544e0a2 Adding 9 new models: ResNet50/TF, SSD/TF, BERT/TF, NCF/TF, UNet/TF, GNMT/TF, SSD/PyT, MaskRCNN/PyT, Tacotron2+Waveglow/PyT 7 лет назад
Dockerfile f0c8bc571a [Tacotron2/PyT} Updating for Ampere 5 лет назад
Dockerfile_trtis_client bf2b7a0767 fixed trtis dockerfile 5 лет назад
LICENCE 7a8544e0a2 Adding 9 new models: ResNet50/TF, SSD/TF, BERT/TF, NCF/TF, UNet/TF, GNMT/TF, SSD/PyT, MaskRCNN/PyT, Tacotron2+Waveglow/PyT 7 лет назад
README.md f0c8bc571a [Tacotron2/PyT} Updating for Ampere 5 лет назад
data_functions.py 7a8544e0a2 Adding 9 new models: ResNet50/TF, SSD/TF, BERT/TF, NCF/TF, UNet/TF, GNMT/TF, SSD/PyT, MaskRCNN/PyT, Tacotron2+Waveglow/PyT 7 лет назад
inference.py f0c8bc571a [Tacotron2/PyT} Updating for Ampere 5 лет назад
inference_perf.py 5e3b487b89 [Tacotron2/PyT] custom TensorRT backend on TensorRT Inference Server; Conversional AI demo; fixed checkpoints loading; fixed FP16 export to TensorRT 6 лет назад
loss_functions.py 7a8544e0a2 Adding 9 new models: ResNet50/TF, SSD/TF, BERT/TF, NCF/TF, UNet/TF, GNMT/TF, SSD/PyT, MaskRCNN/PyT, Tacotron2+Waveglow/PyT 7 лет назад
main.py 2992264d3a updated Tacotron2: included trt, new dllogger 6 лет назад
models.py 3a11f10bfe add support for --cpu-run 5 лет назад
multiproc.py 7a8544e0a2 Adding 9 new models: ResNet50/TF, SSD/TF, BERT/TF, NCF/TF, UNet/TF, GNMT/TF, SSD/PyT, MaskRCNN/PyT, Tacotron2+Waveglow/PyT 7 лет назад
preprocess_audio2mel.py 0663b67c1a Updating models 6 лет назад
requirements.txt 77a1bb917a [Tacotron2/PyT] Updates: better perf, better trt7 support, new logging, bug fixes 6 лет назад
run_latency_tests.sh f0c8bc571a [Tacotron2/PyT} Updating for Ampere 5 лет назад
run_latency_tests_cpu.sh 150f877e19 adding CPU optimization 5 лет назад
test_infer.py f0c8bc571a [Tacotron2/PyT} Updating for Ampere 5 лет назад
test_infer.sh f0c8bc571a [Tacotron2/PyT} Updating for Ampere 5 лет назад
train.py f0c8bc571a [Tacotron2/PyT} Updating for Ampere 5 лет назад

README.md

Tacotron 2 And WaveGlow v1.10 For PyTorch

This repository provides a script and recipe to train Tacotron 2 and WaveGlow v1.6 models to achieve state of the art accuracy, and is tested and maintained by NVIDIA.

Table of Contents

Model overview

This text-to-speech (TTS) system is a combination of two neural network models:

The Tacotron 2 and WaveGlow models form a text-to-speech system that enables users to synthesize natural sounding speech from raw transcripts without any additional information such as patterns and/or rhythms of speech.

Our implementation of Tacotron 2 models differs from the model described in the paper. Our implementation uses Dropout instead of Zoneout to regularize the LSTM layers. Also, the original text-to-speech system proposed in the paper uses the WaveNet model to synthesize waveforms. In our implementation, we use the WaveGlow model for this purpose.

Both models are based on implementations of NVIDIA GitHub repositories Tacotron 2 and WaveGlow, and are trained on a publicly available LJ Speech dataset.

The Tacotron 2 and WaveGlow model enables you to efficiently synthesize high quality speech from text.

Both models are trained with mixed precision using Tensor Cores on Volta, Turing, and the NVIDIA Ampere GPU architectures. Therefore, researchers can get results 2.0x faster for Tacotron 2 and 3.1x faster for WaveGlow than training without Tensor Cores, while experiencing the benefits of mixed precision training. The models are tested against each NGC monthly container release to ensure consistent accuracy and performance over time.

Model architecture

The Tacotron 2 model is a recurrent sequence-to-sequence model with attention that predicts mel-spectrograms from text. The encoder (blue blocks in the figure below) transforms the whole text into a fixed-size hidden feature representation. This feature representation is then consumed by the autoregressive decoder (orange blocks) that produces one spectrogram frame at a time. In our implementation, the autoregressive WaveNet (green block) is replaced by the flow-based generative WaveGlow.

Figure 1. Architecture of the Tacotron 2 model. Taken from the Tacotron 2 paper.

The WaveGlow model is a flow-based generative model that generates audio samples from Gaussian distribution using mel-spectrogram conditioning (Figure 2). During training, the model learns to transform the dataset distribution into spherical Gaussian distribution through a series of flows. One step of a flow consists of an invertible convolution, followed by a modified WaveNet architecture that serves as an affine coupling layer. During inference, the network is inverted and audio samples are generated from the Gaussian distribution. Our implementation uses 512 residual channels in the coupling layer.

Figure 2. Architecture of the WaveGlow model. Taken from the WaveGlow paper.

Default configuration

Both models support multi-GPU and mixed precision training with dynamic loss scaling (see Apex code here), as well as mixed precision inference. To speed up Tacotron 2 training, reference mel-spectrograms are generated during a preprocessing step and read directly from disk during training, instead of being generated during training.

The following features were implemented in this model:

  • data-parallel multi-GPU training
  • dynamic loss scaling with backoff for Tensor Cores (mixed precision) training.

Feature support matrix

The following features are supported by this model.

Feature Tacotron 2 WaveGlow
AMP Yes Yes
Apex DistributedDataParallel Yes Yes

Features

AMP - a tool that enables Tensor Core-accelerated training. For more information, refer to Enabling mixed precision.

Apex DistributedDataParallel - a module wrapper that enables easy multiprocess distributed data parallel training, similar to torch.nn.parallel.DistributedDataParallel. DistributedDataParallel is optimized for use with NCCL. It achieves high performance by overlapping communication with computation during backward() and bucketing smaller gradient transfers to reduce the total number of transfers required.

Mixed precision training

Mixed precision is the combined use of different numerical precisions in a computational method. Mixed precision training offers significant computational speedup by performing operations in half-precision format, while storing minimal information in single-precision to retain as much information as possible in critical parts of the network. Since the introduction of Tensor Cores in Volta, and following with both the Turing and Ampere architectures, significant training speedups are experienced by switching to mixed precision -- up to 3x overall speedup on the most arithmetically intense model architectures. Using mixed precision training requires two steps:

  1. Porting the model to use the FP16 data type where appropriate.
  2. Adding loss scaling to preserve small gradient values.

The ability to train deep learning networks with lower precision was introduced in the Pascal architecture and first supported in CUDA 8 in the NVIDIA Deep Learning SDK.

For information about:

Enabling mixed precision

Mixed precision is enabled in PyTorch by using the Automatic Mixed Precision (AMP) library from APEX that casts variables to half-precision upon retrieval, while storing variables in single-precision format. Furthermore, to preserve small gradient magnitudes in backpropagation, a loss scaling step must be included when applying gradients. In PyTorch, loss scaling can be easily applied by using the scale_loss() method provided by AMP. The scaling value to be used can be dynamic or fixed.

By default, the train_tacotron2.sh and train_waveglow.sh scripts will launch mixed precision training with Tensor Cores. You can change this behaviour by removing the --amp flag from the train.py script.

To enable mixed precision, the following steps were performed in the Tacotron 2 and WaveGlow models:

  • Import AMP from APEX:

    from apex import amp
    amp.lists.functional_overrides.FP32_FUNCS.remove('softmax')
    amp.lists.functional_overrides.FP16_FUNCS.append('softmax')
    
  • Initialize AMP:

    model, optimizer = amp.initialize(model, optimizer, opt_level="O1")
    
  • If running on multi-GPU, wrap the model with DistributedDataParallel:

    from apex.parallel import DistributedDataParallel as DDP
    model = DDP(model)
    
  • Scale loss before backpropagation (assuming loss is stored in a variable called losses):

    • Default backpropagate for FP32:

      losses.backward()
      
    • Scale loss and backpropagate with AMP:

      with optimizer.scale_loss(losses) as scaled_losses:
          scaled_losses.backward()
      

Enabling TF32

TensorFloat-32 (TF32) is the new math mode in NVIDIA A100 GPUs for handling the matrix math also called tensor operations. TF32 running on Tensor Cores in A100 GPUs can provide up to 10x speedups compared to single-precision floating-point math (FP32) on Volta GPUs.

TF32 Tensor Cores can speed up networks using FP32, typically with no loss of accuracy. It is more robust than FP16 for models which require high dynamic range for weights or activations.

For more information, refer to the TensorFloat-32 in the A100 GPU Accelerates AI Training, HPC up to 20x blog post.

TF32 is supported in the NVIDIA Ampere GPU architecture and is enabled by default.

Setup

The following section lists the requirements in order to start training the Tacotron 2 and WaveGlow models.

Requirements

This repository contains Dockerfile which extends the PyTorch NGC container and encapsulates some dependencies. Aside from these dependencies, ensure you have the following components:

For more information about how to get started with NGC containers, see the following sections from the NVIDIA GPU Cloud Documentation and the Deep Learning Documentation:

For those unable to use the PyTorch NGC container, to set up the required environment or create your own container, see the versioned NVIDIA Container Support Matrix.

Quick Start Guide

To train your model using mixed precision with Tensor Cores or using FP32, perform the following steps using the default parameters of the Tacrotron 2 and WaveGlow model on the LJ Speech dataset.

  1. Clone the repository.

    git clone https://github.com/NVIDIA/DeepLearningExamples.git
    cd DeepLearningExamples/PyTorch/SpeechSynthesis/Tacotron2
    
  2. Download and preprocess the dataset. Use the ./scripts/prepare_dataset.sh download script to automatically download and preprocess the training, validation and test datasets. To run this script, issue:

    bash scripts/prepare_dataset.sh
    

Data is downloaded to the ./LJSpeech-1.1 directory (on the host). The ./LJSpeech-1.1 directory is mounted to the /workspace/tacotron2/LJSpeech-1.1 location in the NGC container.

  1. Build the Tacotron 2 and WaveGlow PyTorch NGC container.

    bash scripts/docker/build.sh
    
  2. Start an interactive session in the NGC container to run training/inference. After you build the container image, you can start an interactive CLI session with:

    bash scripts/docker/interactive.sh
    

The interactive.sh script requires that the location on the dataset is specified. For example, LJSpeech-1.1. To preprocess the datasets for Tacotron 2 training, use the ./scripts/prepare_mels.sh script:

   bash scripts/prepare_mels.sh

The preprocessed mel-spectrograms are stored in the ./LJSpeech-1.1/mels directory.

  1. Start training. To start Tacotron 2 training, run:

    bash scripts/train_tacotron2.sh
    

To start WaveGlow training, run:

   bash scripts/train_waveglow.sh
  1. Start validation/evaluation. Ensure your loss values are comparable to those listed in the table in the Results section. For both models, the loss values are stored in the ./output/nvlog.json log file.

After you have trained the Tacotron 2 and WaveGlow models, you should get audio results similar to the samples in the ./audio folder. For details about generating audio, see the Inference process section below.

The training scripts automatically run the validation after each training epoch. The results from the validation are printed to the standard output (stdout) and saved to the log files.

  1. Start inference. After you have trained the Tacotron 2 and WaveGlow models, you can perform inference using the respective checkpoints that are passed as --tacotron2 and --waveglow arguments. Tacotron2 and WaveGlow checkpoints can also be downloaded from NGC:

https://ngc.nvidia.com/catalog/models/nvidia:tacotron2pyt_fp16/files?version=3

https://ngc.nvidia.com/catalog/models/nvidia:waveglow256pyt_fp16/files?version=2

To run inference issue:

   python inference.py --tacotron2 <Tacotron2_checkpoint> --waveglow <WaveGlow_checkpoint> --wn-channels 256 -o output/ -i phrases/phrase.txt --fp16

The speech is generated from lines of text in the file that is passed with -i argument. The number of lines determines inference batch size. To run inference in mixed precision, use the --fp16 flag. The output audio will be stored in the path specified by the -o argument.

You can also run inference on CPU with TorchScript by adding flag --cpu:

   export CUDA_VISIBLE_DEVICES=
   python inference.py --tacotron2 <Tacotron2_checkpoint> --waveglow <WaveGlow_checkpoint> --wn-channels 256 --cpu -o output/ -i phrases/phrase.txt

Advanced

The following sections provide greater details of the dataset, running training and inference, and the training results.

Scripts and sample code

The sample code for Tacotron 2 and WaveGlow has scripts specific to a particular model, located in directories ./tacotron2 and ./waveglow, as well as scripts common to both models, located in the ./common directory. The model-specific scripts are as follows:

  • <model_name>/model.py - the model architecture, definition of forward and inference functions
  • <model_name>/arg_parser.py - argument parser for parameters specific to a given model
  • <model_name>/data_function.py - data loading functions
  • <model_name>/loss_function.py - loss function for the model

The common scripts contain layer definitions common to both models (common/layers.py), some utility scripts (common/utils.py) and scripts for audio processing (common/audio_processing.py and common/stft.py). In the root directory ./ of this repository, the ./run.py script is used for training while inference can be executed with the ./inference.py script. The scripts ./models.py, ./data_functions.py and ./loss_functions.py call the respective scripts in the <model_name> directory, depending on what model is trained using the run.py script.

Parameters

In this section, we list the most important hyperparameters and command-line arguments, together with their default values that are used to train Tacotron 2 and WaveGlow models.

Shared parameters

  • --epochs - number of epochs (Tacotron 2: 1501, WaveGlow: 1001)
  • --learning-rate - learning rate (Tacotron 2: 1e-3, WaveGlow: 1e-4)
  • --batch-size - batch size (Tacotron 2 FP16/FP32: 104/48, WaveGlow FP16/FP32: 10/4)
  • --amp - use mixed precision training
  • --cpu - use CPU with TorchScript for inference

Shared audio/STFT parameters

  • --sampling-rate - sampling rate in Hz of input and output audio (22050)
  • --filter-length - (1024)
  • --hop-length - hop length for FFT, i.e., sample stride between consecutive FFTs (256)
  • --win-length - window size for FFT (1024)
  • --mel-fmin - lowest frequency in Hz (0.0)
  • --mel-fmax - highest frequency in Hz (8.000)

Tacotron 2 parameters

  • --anneal-steps - epochs at which to anneal the learning rate (500 1000 1500)
  • --anneal-factor - factor by which to anneal the learning rate (FP16/FP32: 0.3/0.1)

WaveGlow parameters

  • --segment-length - segment length of input audio processed by the neural network (8000)
  • --wn-channels - number of residual channels in the coupling layer networks (512)

Command-line options

To see the full list of available options and their descriptions, use the -h or --help command line option, for example:

python train.py --help

The following example output is printed when running the sample:

Batch: 7/260 epoch 0
:::NVLOGv0.2.2 Tacotron2_PyT 1560936205.667271376 (/workspace/tacotron2/dllogger/logger.py:251) train_iter_start: 7
:::NVLOGv0.2.2 Tacotron2_PyT 1560936207.209611416 (/workspace/tacotron2/dllogger/logger.py:251) train_iteration_loss: 5.415428161621094
:::NVLOGv0.2.2 Tacotron2_PyT 1560936208.705905914 (/workspace/tacotron2/dllogger/logger.py:251) train_iter_stop: 7
:::NVLOGv0.2.2 Tacotron2_PyT 1560936208.706479311 (/workspace/tacotron2/dllogger/logger.py:251) train_iter_items/sec: 8924.00136085362
:::NVLOGv0.2.2 Tacotron2_PyT 1560936208.706998110 (/workspace/tacotron2/dllogger/logger.py:251) iter_time: 3.0393316745758057
Batch: 8/260 epoch 0
:::NVLOGv0.2.2 Tacotron2_PyT 1560936208.711485624 (/workspace/tacotron2/dllogger/logger.py:251) train_iter_start: 8
:::NVLOGv0.2.2 Tacotron2_PyT 1560936210.236668825 (/workspace/tacotron2/dllogger/logger.py:251) train_iteration_loss: 5.516331672668457

Getting the data

The Tacotron 2 and WaveGlow models were trained on the LJSpeech-1.1 dataset. This repository contains the ./scripts/prepare_dataset.sh script which will automatically download and extract the whole dataset. By default, data will be extracted to the ./LJSpeech-1.1 directory. The dataset directory contains a README file, a wavs directory with all audio samples, and a file metadata.csv that contains audio file names and the corresponding transcripts.

Dataset guidelines

The LJSpeech dataset has 13,100 clips that amount to about 24 hours of speech. Since the original dataset has all transcripts in the metadata.csv file, in this repository we provide file lists in the ./filelists directory that determine training and validation subsets; ljs_audio_text_train_filelist.txt is a test set used as a training dataset and ljs_audio_text_val_filelist.txt is a test set used as a validation dataset.

Multi-dataset

To use datasets different than the default LJSpeech dataset:

  1. Prepare a directory with all audio files and pass it to the --dataset-path command-line option.

  2. Add two text files containing file lists: one for the training subset (--training-files) and one for the validation subset (--validation files). The structure of the filelists should be as follows:

    `<audio file path>|<transcript>`
    

The <audio file path> is the relative path to the path provided by the --dataset-path option.

Training process

The Tacotron2 and WaveGlow models are trained separately and independently. Both models obtain mel-spectrograms from short time Fourier transform (STFT) during training. These mel-spectrograms are used for loss computation in case of Tacotron 2 and as conditioning input to the network in case of WaveGlow.

The training loss is averaged over an entire training epoch, whereas the validation loss is averaged over the validation dataset. Performance is reported in total output mel-spectrograms per second for the Tacotron 2 model and in total output samples per second for the WaveGlow model. Both measures are recorded as train_iter_items/sec (after each iteration) and train_epoch_items/sec (averaged over epoch) in the output log file ./output/nvlog.json. The result is averaged over an entire training epoch and summed over all GPUs that were included in the training.

Even though the training script uses all available GPUs, you can change this behavior by setting the CUDA_VISIBLE_DEVICES variable in your environment or by setting the NV_GPU variable at the Docker container launch (see section "GPU isolation").

Inference process

You can run inference using the ./inference.py script. This script takes text as input and runs Tacotron 2 and then WaveGlow inference to produce an audio file. It requires pre-trained checkpoints from Tacotron 2 and WaveGlow models and input text as a text file, with one phrase per line.

To run inference, issue:

python inference.py --tacotron2 <Tacotron2_checkpoint> --waveglow <WaveGlow_checkpoint> --wn-channels 256 -o output/ --include-warmup -i phrases/phrase.txt --fp16

Here, Tacotron2_checkpoint and WaveGlow_checkpoint are pre-trained checkpoints for the respective models, and phrases/phrase.txt contains input phrases. The number of text lines determines the inference batch size. Audio will be saved in the output folder. The audio files audio_fp16 and audio_fp32 were generated using checkpoints from mixed precision and FP32 training, respectively.

You can find all the available options by calling python inference.py --help.

You can also run inference on CPU with TorchScript by adding flag --cpu:

export CUDA_VISIBLE_DEVICES=
python inference.py --tacotron2 <Tacotron2_checkpoint> --waveglow <WaveGlow_checkpoint> --wn-channels 256 --cpu -o output/ -i phrases/phrase.txt

Performance

Benchmarking

The following section shows how to run benchmarks measuring the model performance in training and inference mode.

Training performance benchmark

To benchmark the training performance on a specific batch size, run:

Tacotron 2

  • For 1 GPU

    • FP16

      python train.py -m Tacotron2 -o <output_dir> -lr 1e-3 --epochs 10 -bs <batch_size> --weight-decay 1e-6 --grad-clip-thresh 1.0 --cudnn-enabled --log-file nvlog.json --load-mel-from-disk --training-files=filelists/ljs_mel_text_train_subset_2500_filelist.txt --validation-files=filelists/ljs_mel_text_val_filelist.txt --dataset-path <dataset-path> --amp
      
    • TF32 (or FP32 if TF32 not enabled)

      python train.py -m Tacotron2 -o <output_dir> -lr 1e-3 --epochs 10 -bs <batch_size> --weight-decay 1e-6 --grad-clip-thresh 1.0 --cudnn-enabled --log-file nvlog.json --load-mel-from-disk --training-files=filelists/ljs_mel_text_train_subset_2500_filelist.txt --validation-files=filelists/ljs_mel_text_val_filelist.txt --dataset-path <dataset-path>
      
  • For multiple GPUs

    • FP16

      python -m multiproc train.py -m Tacotron2 -o <output_dir> -lr 1e-3 --epochs 10 -bs <batch_size> --weight-decay 1e-6 --grad-clip-thresh 1.0 --cudnn-enabled --log-file nvlog.json --load-mel-from-disk --training-files=filelists/ljs_mel_text_train_subset_2500_filelist.txt --validation-files=filelists/ljs_mel_text_val_filelist.txt --dataset-path <dataset-path> --amp
      
    • TF32 (or FP32 if TF32 not enabled)

      python -m multiproc train.py -m Tacotron2 -o <output_dir> -lr 1e-3 --epochs 10 -bs <batch_size> --weight-decay 1e-6 --grad-clip-thresh 1.0 --cudnn-enabled --log-file nvlog.json --load-mel-from-disk --training-files=filelists/ljs_mel_text_train_subset_2500_filelist.txt --validation-files=filelists/ljs_mel_text_val_filelist.txt --dataset-path <dataset-path>
      

WaveGlow

  • For 1 GPU

    • FP16

      python train.py -m WaveGlow -o <output_dir> -lr 1e-4 --epochs 10 -bs <batch_size> --segment-length 8000 --weight-decay 0 --grad-clip-thresh 65504.0 --cudnn-enabled --cudnn-benchmark --log-file nvlog.json --training-files filelists/ljs_audio_text_train_subset_1250_filelist.txt --dataset-path <dataset-path> --amp
      
    • TF32 (or FP32 if TF32 not enabled)

      python train.py -m WaveGlow -o <output_dir> -lr 1e-4 --epochs 10 -bs <batch_size> --segment-length  8000 --weight-decay 0 --grad-clip-thresh 3.4028234663852886e+38 --cudnn-enabled --cudnn-benchmark --log-file nvlog.json --training-files filelists/ljs_audio_text_train_subset_1250_filelist.txt --dataset-path <dataset-path>
      
  • For multiple GPUs

    • FP16

      python -m multiproc train.py -m WaveGlow -o <output_dir> -lr 1e-4 --epochs 10 -bs <batch_size> --segment-length 8000 --weight-decay 0 --grad-clip-thresh 65504.0 --cudnn-enabled --cudnn-benchmark --log-file nvlog.json --training-files filelists/ljs_audio_text_train_subset_1250_filelist.txt --dataset-path <dataset-path> --amp
      
    • TF32 (or FP32 if TF32 not enabled)

      python -m multiproc train.py -m WaveGlow -o <output_dir> -lr 1e-4 --epochs 10 -bs <batch_size> --segment-length 8000 --weight-decay 0 --grad-clip-thresh 3.4028234663852886e+38 --cudnn-enabled --cudnn-benchmark --log-file nvlog.json --training-files filelists/ljs_audio_text_train_subset_1250_filelist.txt --dataset-path <dataset-path>
      

Each of these scripts runs for 10 epochs and for each epoch measures the average number of items per second. The performance results can be read from the nvlog.json files produced by the commands.

Inference performance benchmark

To benchmark the inference performance on a batch size=1, run:

  • For FP16

    python inference.py --tacotron2 <Tacotron2_checkpoint> --waveglow <WaveGlow_checkpoint> -o output/ --include-warmup -i phrases/phrase_1_64.txt --fp16 --log-file=output/nvlog_fp16.json
    
  • For TF32 (or FP32 if TF32 not enabled)

    python inference.py --tacotron2 <Tacotron2_checkpoint> --waveglow <WaveGlow_checkpoint> -o output/ --include-warmup -i phrases/phrase_1_64.txt --log-file=output/nvlog_fp32.json
    

The output log files will contain performance numbers for Tacotron 2 model (number of output mel-spectrograms per second, reported as tacotron2_items_per_sec) and for WaveGlow (number of output samples per second, reported as waveglow_items_per_sec). The inference.py script will run a few warmup iterations before running the benchmark.

Results

The following sections provide details on how we achieved our performance and accuracy in training and inference.

Training accuracy results

Training accuracy: NVIDIA DGX A100 (8x A100 40GB)

Our results were obtained by running the ./platform/DGXA100_{tacotron2,waveglow}_{AMP,TF32}_{1,4,8}NGPU_train.sh training script in the PyTorch-20.06-py3 NGC container on NVIDIA DGX A100 (8x A100 40GB) GPUs.

All of the results were produced using the train.py script as described in the Training process section of this document. For each model, the loss is taken from a sample run.

Loss (Model/Epoch) 1 250 500 750 1000
Tacotron 2 FP16 3.82 0.56 0.42 0.38 0.35
Tacotron 2 TF32 3.50 0.54 0.41 0.37 0.35
WaveGlow FP16 -3.31 -5.72 -5.87 -5.94 -5.99
WaveGlow TF32 -4.46 -5.93 -5.98

Figure 4. Tacotron 2 FP16 loss - batch size 128 (sample run)

Figure 5. Tacotron 2 TF32 loss - batch size 128 (sample run)

Figure 6. WaveGlow FP16 loss - batch size 10 (sample run)

Figure 7. WaveGlow TF32 loss - batch size 4 (sample run)

Training accuracy: NVIDIA DGX-1 (8x V100 16GB)

Our results were obtained by running the ./platform/DGX1_{tacotron2,waveglow}_{AMP,TF32}_{1,4,8}NGPU_train.sh training script in the PyTorch-20.06-py3 NGC container on NVIDIA DGX-1 with 8x V100 16G GPUs.

All of the results were produced using the train.py script as described in the Training process section of this document.

Loss (Model/Epoch) 1 250 500 750 1000
Tacotron 2 FP16 13.0732 0.5736 0.4408 0.3923 0.3735
Tacotron 2 FP32 8.5776 0.4807 0.3875 0.3421 0.3308
WaveGlow FP16 -2.2054 -5.7602 -5.901 -5.9706 -6.0258
WaveGlow FP32 -3.0327 -5.858 -6.0056 -6.0613 -6.1087

Figure 4. Tacotron 2 FP16 loss - batch size 104 (mean and std over 16 runs)

Figure 5. Tacotron 2 FP32 loss - batch size 48 (mean and std over 16 runs)

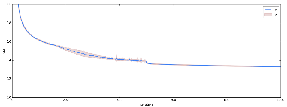
Figure 6. WaveGlow FP16 loss - batch size 10 (mean and std over 16 runs)

Figure 7. WaveGlow FP32 loss - batch size 4 (mean and std over 16 runs)

Training curves

Figure 3. Tacotron 2 and WaveGlow training loss.

Training performance results

Training performance: NVIDIA DGX A100 (8x A100 40GB)

Our results were obtained by running the ./platform/DGXA100_{tacotron2,waveglow}_{AMP,TF32}_{1,4,8}NGPU_train.sh training script in the [framework-container-name] NGC container on NVIDIA DGX A100 (8x A100 40GB) GPUs. Performance numbers (in output mel-spectrograms per second for Tacotron 2 and output samples per second for WaveGlow) were averaged over an entire training epoch.

This table shows the results for Tacotron 2:

Number of GPUs Batch size per GPU Number of mels used with mixed precision Number of mels used with TF32 Speed-up with mixed precision Multi-GPU weak scaling with mixed precision Multi-GPU weak scaling with TF32
1 128 26,484 31,499 0.84 1.00 1.00
4 128 107,482 124,591 0.86 4.06 3.96
8 128 209,186 250,556 0.83 7.90 7.95

The following table shows the results for WaveGlow:

Number of GPUs Batch size per GPU Number of samples used with mixed precision Number of samples used with TF32 Speed-up with mixed precision Multi-GPU weak scaling with mixed precision Multi-GPU weak scaling with TF32
1 10@FP16, 4@TF32 149,479 67,581 2.21 1.00 1.00
4 10@FP16, 4@TF32 532,363 233,846 2.28 3.56 3.46
8 10@FP16, 4@TF32 905,043 383,043 2.36 6.05 5.67
Expected training time

The following table shows the expected training time for convergence for Tacotron 2 (1501 epochs):

Number of GPUs Batch size per GPU Time to train with mixed precision (Hrs) Time to train with TF32 (Hrs) Speed-up with mixed precision
1 128 112 94 0.84
4 128 29 25 0.87
8 128 16 14 0.84

The following table shows the expected training time for convergence for WaveGlow (1001 epochs):

Number of GPUs Batch size per GPU Time to train with mixed precision (Hrs) Time to train with TF32 (Hrs) Speed-up with mixed precision
1 10@FP16, 4@TF32 188 416 2.21
4 10@FP16, 4@TF32 54 122 2.27
8 10@FP16, 4@TF32 33 75 2.29
Training performance: NVIDIA DGX-1 (8x V100 16GB)

Our results were obtained by running the ./platform/DGX1_{tacotron2,waveglow}_{AMP,TF32}_{1,4,8}NGPU_train.sh training script in the PyTorch-20.06-py3 NGC container on NVIDIA DGX-1 with 8x V100 16G GPUs. Performance numbers (in output mel-spectrograms per second for Tacotron 2 and output samples per second for WaveGlow) were averaged over an entire training epoch.

This table shows the results for Tacotron 2:

Number of GPUs Batch size per GPU Number of mels used with mixed precision Number of mels used with FP32 Speed-up with mixed precision Multi-GPU weak scaling with mixed precision Multi-GPU weak scaling with FP32
1 104@FP16, 48@FP32 15,891 9,174 1.73 1.00 1.00
4 104@FP16, 48@FP32 53,417 32,035 1.67 3.36 3.49
8 104@FP16, 48@FP32 115,032 58,703 1.96 7.24 6.40

The following table shows the results for WaveGlow:

Number of GPUs Batch size per GPU Number of samples used with mixed precision Number of samples used with FP32 Speed-up with mixed precision Multi-GPU weak scaling with mixed precision Multi-GPU weak scaling with FP32
1 10@FP16, 4@FP32 105,873 33,761 3.14 1.00 1.00
4 10@FP16, 4@FP32 364,471 118,254 3.08 3.44 3.50
8 10@FP16, 4@FP32 690,909 222,794 3.10 6.53 6.60

To achieve these same results, follow the steps in the Quick Start Guide.

Expected training time

The following table shows the expected training time for convergence for Tacotron 2 (1501 epochs):

Number of GPUs Batch size per GPU Time to train with mixed precision (Hrs) Time to train with FP32 (Hrs) Speed-up with mixed precision
1 104@FP16, 48@FP32 181 333 1.84
4 104@FP16, 48@FP32 53 88 1.66
8 104@FP16, 48@FP32 31 48 1.56

The following table shows the expected training time for convergence for WaveGlow (1001 epochs):

Number of GPUs Batch size per GPU Time to train with mixed precision (Hrs) Time to train with FP32 (Hrs) Speed-up with mixed precision
1 10@FP16, 4@FP32 249 793 3.18
4 10@FP16, 4@FP32 78 233 3.00
8 10@FP16, 4@FP32 48 127 2.98

Inference performance results

The following tables show inference statistics for the Tacotron2 and WaveGlow text-to-speech system, gathered from 1000 inference runs, on 1x A100, 1x V100 and 1x T4, respectively. Latency is measured from the start of Tacotron 2 inference to the end of WaveGlow inference. The tables include average latency, latency standard deviation, and latency confidence intervals. Throughput is measured as the number of generated audio samples per second. RTF is the real-time factor which tells how many seconds of speech are generated in 1 second of compute.

Inference performance: NVIDIA DGX A100 (1x A100 40GB)

Our results were obtained by running the inference-script-name.sh inferencing benchmarking script in the PyTorch-20.06-py3 NGC container on NVIDIA DGX A100 (1x A100 40GB) GPU.

Batch size Input length Precision WN channels Avg latency (s) Latency std (s) Latency confidence interval 50% (s) Latency confidence interval 90% (s) Latency confidence interval 95% (s) Latency confidence interval 99% (s) Throughput (samples/sec) Speed-up with mixed precision Avg mels generated (81 mels=1 sec of speech) Avg audio length (s) Avg RTF
1 128 FP16 256 0.80 0.02 0.80 0.83 0.84 0.86 192,086 1.08 602 6.99 8.74
4 128 FP16 256 1.05 0.03 1.05 1.09 1.10 1.13 602,856 1.20 619 7.19 6.85
1 128 FP32 256 0.87 0.02 0.87 0.90 0.91 0.93 177,210 1.00 601 6.98 8.02
4 128 FP32 256 1.27 0.03 1.26 1.31 1.32 1.35 500,458 1.00 620 7.20 5.67
1 128 FP16 512 0.87 0.02 0.87 0.90 0.92 0.94 176,135 1.12 601 6.98 8.02
4 128 FP16 512 1.37 0.03 1.36 1.42 1.43 1.45 462,691 1.32 619 7.19 5.25
1 128 FP32 512 0.98 0.03 0.98 1.02 1.03 1.07 156,586 1.00 602 6.99 7.13
4 128 FP32 512 1.81 0.05 1.79 1.86 1.90 1.93 351,465 1.00 620 7.20 3.98
Inference performance: NVIDIA DGX-1 (1x V100 16GB)
Batch size Input length Precision WN channels Avg latency (s) Latency std (s) Latency confidence interval 50% (s) Latency confidence interval 90% (s) Latency confidence interval 95% (s) Latency confidence interval 99% (s) Throughput (samples/sec) Speed-up with mixed precision Avg mels generated (81 mels=1 sec of speech) Avg audio length (s) Avg RTF
1 128 FP16 256 1.14 0.07 1.12 1.20 1.33 1.40 136,069 1.58 602 6.99 6.13
4 128 FP16 256 1.52 0.05 1.52 1.58 1.61 1.65 416,688 1.72 619 7.19 4.73
1 128 FP32 256 1.79 0.06 1.78 1.86 1.89 1.99 86,175 1.00 602 6.99 3.91
4 128 FP32 256 2.61 0.07 2.61 2.71 2.74 2.78 242,656 1.00 619 7.19 2.75
1 128 FP16 512 1.25 0.08 1.23 1.32 1.44 1.50 124,057 1.90 602 6.99 5.59
4 128 FP16 512 2.11 0.06 2.10 2.19 2.22 2.29 300,505 2.37 620 7.20 3.41
1 128 FP32 512 2.36 0.08 2.35 2.46 2.54 2.61 65,239 1.00 601 6.98 2.96
4 128 FP32 512 5.00 0.14 4.96 5.18 5.26 5.42 126,810 1.00 618 7.18 1.44
Inference performance: NVIDIA T4
Batch size Input length Precision WN channels Avg latency (s) Latency std (s) Latency confidence interval 50% (s) Latency confidence interval 90% (s) Latency confidence interval 95% (s) Latency confidence interval 99% (s) Throughput (samples/sec) Speed-up with mixed precision Avg mels generated (81 mels=1 sec of speech) Avg audio length (s) Avg RTF
1 128 FP16 256 1.23 0.05 1.22 1.29 1.33 1.42 125,397 2.46 602 6.99 5.68
4 128 FP16 256 2.85 0.08 2.84 2.96 2.99 3.07 222,672 1.90 620 7.20 2.53
1 128 FP32 256 3.03 0.10 3.02 3.14 3.19 3.32 50,900 1.00 602 6.99 2.31
4 128 FP32 256 5.41 0.15 5.38 5.61 5.66 5.85 117,325 1.00 620 7.20 1.33
1 128 FP16 512 1.75 0.08 1.73 1.87 1.91 1.98 88,319 2.79 602 6.99 4.00
4 128 FP16 512 4.59 0.13 4.57 4.77 4.83 4.94 138,226 2.84 620 7.20 1.57
1 128 FP32 512 4.87 0.14 4.86 5.03 5.13 5.27 31,630 1.00 602 6.99 1.44
4 128 FP32 512 13.02 0.37 12.96 13.53 13.67 14.13 48,749 1.00 620 7.20 0.55

Our results were obtained by running the ./run_latency_tests.sh script in the PyTorch-20.06-py3 NGC container. Please note that to reproduce the results, you need to provide pretrained checkpoints for Tacotron 2 and WaveGlow. Please edit the script to provide your checkpoint filenames.

To compare with inference performance on CPU with TorchScript, benchmark inference on CPU using ./run_latency_tests_cpu.sh script and get the performance numbers for batch size 1 and 4. Intel's optimization for PyTorch on CPU are added, you need to set export OMP_NUM_THREADS=<num physical cores> based on your CPU's core number, for your reference: https://software.intel.com/content/www/us/en/develop/articles/maximize-tensorflow-performance-on-cpu-considerations-and-recommendations-for-inference.html

Release notes

Changelog

June 2020

  • Updated performance tables to include A100 results

March 2020

  • Added Tacotron 2 and WaveGlow inference using TensorRT Inference Server with custom TensorRT backend in trtis_cpp
  • Added Conversational AI demo script in notebooks/conversationalai
  • Fixed loading CUDA RNG state in load_checkpoint() function in train.py
  • Fixed FP16 export to TensorRT in trt/README.md

January 2020

  • Updated batch sizes and performance results for Tacotron 2.

December 2019

November 2019

  • Implemented training resume from checkpoint
  • Added notebook for running Tacotron 2 and WaveGlow in TRTIS.

October 2019

  • Tacotron 2 inference with torch.jit.script

September 2019

  • Introduced inference statistics

August 2019

  • Fixed inference results
  • Fixed initialization of Batch Normalization

July 2019

  • Changed measurement units for Tacotron 2 training and inference performance benchmarks from input tokes per second to output mel-spectrograms per second
  • Introduced batched inference
  • Included warmup in the inference script

June 2019

  • AMP support
  • Data preprocessing for Tacotron 2 training
  • Fixed dropouts on LSTMCells

March 2019

  • Initial release

Known issues

There are no known issues in this release.